NBR Study Navi 第111号 薬剤性難聴モデル
第 111 号 2026 年 2 月 2 日 営業企画部発行
試験方法
使用動物:マウス CBA/J
誘発方法:シスプラチンの反復投与(腹腔内投与)
日程(例):【4日間連日のシスプラチン投与+10日間の休薬期間】を3回(シスプラチンの投与は調整可能)
評価・結果
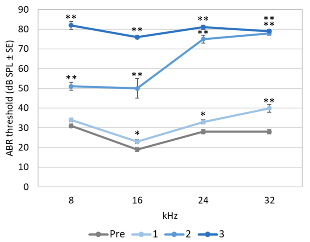
評価方法:ABR検査(シスプラチン投与前、休薬1回目、2回目、3回目)
結果
シスプラチンの投与により、ABR音圧閾値の上昇が認められた。
第 111 号 2026 年 2 月 2 日 営業企画部発行
使用動物:マウス CBA/J
誘発方法:シスプラチンの反復投与(腹腔内投与)
日程(例):【4日間連日のシスプラチン投与+10日間の休薬期間】を3回(シスプラチンの投与は調整可能)
評価方法:ABR検査(シスプラチン投与前、休薬1回目、2回目、3回目)
シスプラチンの投与により、ABR音圧閾値の上昇が認められた。